1. Выполни вычисления устно.
25 • 3 + 25 • 7 (350 - 110) : 6 • 3
59 • 6 - 59 • 5 (120 + 230) : 5 : 70
2 • 84 + 8 • 84 56 • (830 - 820) : 8
67 • 3 - 7 • 3 360 : (124 - 120) • 0
Ответ:
25 • 3 + 25 • 7 = 75 + 175 = 250
59 • 6 - 59 • 5 = 354 - 295 = 59
2 • 84 + 8 • 84 = 168 + 672 = 840
67 • 3 - 7 • 3 = 201 - 21 = 180
(350 - 110) : 6 • 3 = 240 : 6 • 3 = 40 • 3 = 120
(120 + 230) : 5 : 70 = 350 : 5 : 70 = 70 : 70 = 1
56 • (830 - 820) : 8 = 56 • 10 : 8 = 560 : 8 = 70
360 : (124 - 120) • 0 = 360 : 4 • 0 = 90 • 0 = 0
2. Реши в тетради кроссворд, и ты узнаешь, что изобретено в Китае.
450 : 90 А
81 : 3 К
17 • 5 Л
400 : 5 M
13 • 7 О
500 : 20 П
560 : 40 Р
23 • 4 У
13 • 6 Ф
840 : 70 Ш
Ответ:
450 : 90 = 5 А
81 : 3 = 27 К
17 • 5 = 85 Л
400 : 5 = 80 M
13 • 7 = 91 О
500 : 20 = 25 П
560 : 40 = 14 Р
23 • 4 = 92 У
13 • 6 = 78 Ф
840 : 70 = 12 Ш
3. Вычисли.
12 км 45 м - 4 км 8 м + 19 км 209 м
10 м 2 см - 8 м 34 см + 14 м 9 см
Ответ:
12 км 45 м - 4 км 8 м + 19 км 209 м = 12 045 м - 4 008 м + 19 209 м = 8 037 м + 19 209 м = 27 246 м = 27 км 246 м
10 м 2 см - 8 м 34 см + 14 м 9 см = 1 002 см - 834 см + 1 409 м = 168 см+ 1 409 см = 1 577 см = 15 м 77 см
4. Заполни в тетради таблицу.
Ответ:

5 м/с • 40 с = 200 м
840 км : 6 ч = 140 км/ч
98 км : 14 км/ч = 7 ч
5. Великая Китайская стена была построена для защиты от врагов. Через каждые 200 м — на расстоянии полёта стрелы — были возведены сторожевые башни. Участок стены идёт по склону холма. Стражник поднимается от одной башни к другой за 4 мин, а спускается со скоростью в 2 раза большей. Сколько времени стражник тратит на весь путь от одной башни до другой и обратно? Реши задачу разными способами. Обсуди свои решения с одноклассниками.
Ответ:
Способ 1.
1) 4 : 2 = 2 мин - стражник тратит на спуск
2) 4 + 2 = 6 мин - стражник тратит на весь путь
Способ 2.
1) 200 : 4 = 50 м/мин - скорость стражника при подъеме
2) 50 • 2 = 100 м/мин - скорость стражника при спуске
3) 200 : 100 = 2 мин - стражник тратит на спуск
4) 4 + 2 = 6 мин - стражник тратит на весь путь
6. Великий шёлковый путь связывал Китай с Чёрным морем. Из караван-сараев, расстояние между которыми 77 км, вышли одновременно навстречу друг другу два купеческих каравана. Через 7 ч они встретились. Скорость каравана, идущего из Китая, 6 км/ч. Сколько километров прошёл до места встречи караван, идущий в Китай?
Ответ:
1) 6 • 7 = 42 км - прошел караван, идущий из Китая
2) 77 - 42 = 35 км - прошел караван до места встречи, идущий в Китай
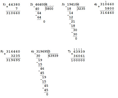
7. Найди значения выражений.
4 820 • 90 + 5 640 • 30 - 33 656 : 8 + 99 999
(44 380 • 7 + 46 400 • 8 + 19 410 : 6) : 5 + 36 061
Ответ:
1 4 2 5 3 6
4 820 • 90 + 5 640 • 30 - 33 656 : 8 + 99 999 = 698 792

1 4 2 5 3 6 7
(44 380 • 7 + 46 400 : 8 + 19 410 : 6) : 5 + 36 061 = 100 000

8. В древности китайцы пользовались бронзовыми монетами, которые можно было нанизывать на шнур. У купца 3 связки монет. На первой связке 28 монет, что составляет третью часть монет на второй связке, а монет на третьей связке в 8 раз меньше, чем на первой и второй вместе. Сколько всего монет у купца на трёх связках?
Ответ:
1) 28 • 3 = 84 монеты - на второй связке
2) 28 + 84 = 112 монет - на первой и второй связках вместе
3) 112 : 8 = 14 монет - на третьей связке
4) 112 + 14 = 126 монет - на трех связках
9. Китайцы вместо букв используют иероглифы. Всего иероглифов около 50 000. Ученик за 2 месяца выучил 78 иероглифов, причём за первый месяц на 16 иероглифов меньше, чем за второй. Сколько иероглифов выучил ученик за первый месяц? Сколько за второй? Обсуди свой ответ с одноклассниками.
Ответ:
1) 78 - 16 = 62 иероглифа - выучил бы ученик за месяц, если бы он учил каждый месяц одинаковое количество иероглифов
2) 62 : 2 = 31 иероглиф - выучил ученик за первый месяц
3) 31 + 16 = 47 иероглифов - выучил ученик за второй месяц
| Всего комментариев: 0 | |

