1. Выполни действия по порядку слева направо.
• : • : +
75 — 2 — 3 — 4 — 100 — 998 = □
• • : • -
14 — 5 — 9 — 10 — 2 — 26 = □
+ : + • :
130 — 35 — 3 — 45 — 8 — 200 = □
Ответ:
• : • : +
75 — 2 — 3 — 4 — 100 — 998 = 1 000
75 • 2 = 150
150 : 3 = 50
50 • 4 = 200
200 : 100 = 2
2 + 998 = 1 000
• • : • -
14 — 5 — 9 — 10 — 2 — 26 = 100
14 • 5 = 70
70 • 9 = 630
630 : 10 = 63
63 • 2 = 126
126 - 26 = 100
+ : + • :
130 — 35 — 3 — 45 — 8 — 200 = 600
130 + 35 = 165
165 : 3 = 55
55 + 45 = 100
100 • 8 = 800
800 - 200 = 600
2. Найди одинаковые промежутки времени.
24 ч 18 мин 1 мин 30 с 20 ч 60 мин 7 мин 20 с
21 ч 1 сут 440 с 17 мин 60 с 90 с
Ответ:
18 мин = 17 мин 60 с
1 мин 30 с = 60 + 30 = 90 с
21 ч = 20 ч 60 мин
7 мин 20 с = 7 • 60 + 20 = 420 + 20 = 440 с
1 сут = 24 ч
3. Белый Рыцарь проскакал 60 км, а Чёрный Рыцарь — 36 км. Белый Рыцарь был в пути на 2 ч больше. Сколько времени был в пути каждый из рыцарей, если они ехали с одной и той же скоростью?
Ответ:
1) 60 - 36 = 24 км - на столько больше был в пути белый рыцарь, чем черный
2) 24 : 2 = 12 км/ч - скорость рыцарей
3) 60 : 12 = 5 ч - был в пути белый рыцарь
4) 36 : 12 = 3 ч - был в пути черный рыцарь
4. Два мюмзика летали в мове с одинаковой скоростью. Первый пролетел 600 км, второй — 780 км. Первый был в пути на 3 ч меньше. Сколько времени был в пути каждый мюмзик?
Ответ:
1) 780 - 600 = 180 км - на столько больше пролетел первый мюмзик, чем второй
2) 180 : 3 = 60 км/ч - скорость мюмзиков
3) 600 : 60 = 10 ч - был в пути первый мюмзик
4) 780 : 60 = 13 ч - был в пути второй мюмзик
5. Алиса ехала с клетки е3 на клетку е4 на поезде. Поезд шёл 8 ч по клетке е3 и 3 ч по клетке е4, причём по клетке е3 он проехал на 320 км больше. Сколько километров проехала Алиса по каждой клетке, если поезд шёл с одинаковой скоростью?
Ответ:
1) 8 - 3 = 5 ч - на столько больше поезд шел по клетке е3, чем по е4
2) 320 : 5 = 64 км/ч - скорость поезда
3) 64 • 8 = 512 км - проехал поезд по клетке е3
4) 64 • 3 = 192 км - проехал поезд по клетке е4
6. Ужасный Бармаглот полетел навестить злопастного Брандашмыга. На дорогу к Брандашмыгу Бармаглот потратил 7 ч, двигаясь со скоростью 60 км/ч. С какой скоростью летел Бармаглот обратно, если до своего гнезда он добирался 5 ч?
Ответ:
1) 60 • 7 = 420 км - расстояние от гнезда Бармаглота до Брандашмыга
2) 420 : 5 = 84 км/ч - с такой скоростью Бармаглот летел обратно
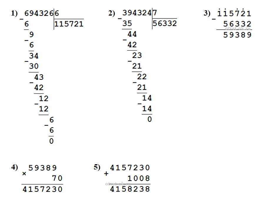
7. Найди значения выражений.
(59 011 - 58 187) : 8 + (76 121 - 75 167) : 9
(694 326 : 6 - 394 324 : 7) • 70 + 1 008
Ответ:
1 3 5 2 4
(59 011 - 58 187) : 8 + (76 121 - 75 167) : 9 = 209

1 3 2 4 5
(694 326 : 6 - 394 324 : 7) • 70 + 1 008 = 4 158 238

8. Выполни действия.
592 590 : 6 4 028 • 50 111 105 • 9
445 179 : 7 1 006 • 30 5 005 • 80
915 312 : 8 2 095 • 70 9 043 • 60
Ответ:

9. Реши уравнения.
60 • (с • 3) = 189 720 6 588 + х : 6 = 10 274
Ответ:
60 • (с • 3) = 189 720
с • 3 = 189 720 : 60
с • 3 = 3 162
с = 3 162 : 3
с = 1 054
6 588 + х : 6 = 10 274
х : 6 = 10 274 - 6 588
х : 6 = 3 686
х = 3 686 • 6
х = 22 116
10. В таблице указана длина одной из сторон прямоугольников, имеющих один и тот же периметр 24 см. Найди длину другой стороны и площадь каждого из прямоугольников и заполни в тетради таблицу.
Ответ:

24 - (1 + 1) = 24 - 2 = 22 см - b + b
22 : 2 = 11 см - b
1 + 11 = 12 см - a + b
1 • 11 = 11 см2 - S первого прямоугольника
24 - (6 + 6) = 24 - 12 = 12 см - а + а
12 : 2 = 6 см - а
6 + 6 = 12 см - a + b
6 • 6 = 36 см2 - S второго прямоугольника (квадрата)
24 - (8 + 8) = 24 - 16 = 8 см - а + а
8 : 2 = 4 см - а
4 + 8 = 12 см - a + b
4 • 8 = 32 см2 - S третьего прямоугольника
24 - (5 + 5) = 24 - 10 = 14 см - b + b
14 : 2 = 7 см - b
5 + 7 = 12 см - a + b
5 • 7 = 35 см2 - S четвертого прямоугольника
24 - (9 + 9) = 24 - 18 = 6 см - а + а
6 : 2 = 3 см - а
3 + 9 = 12 см - a + b
3 • 9 = 27 см2 - S пятого прямоугольника
Наибольшую площадь (36 см2) имеет квадрат со стороной 6 см.
| Всего комментариев: 0 | |

