1. Какой смысл мы вкладываем в следующие предложения?
а) Велосипедист едет со скоростью 12 км/ч.
б) Всадник скачет со скоростью 17 км/ч.
в) Поезд едет со скоростью 70 км/ч.
Ответ:
Смысл: во всех предложениях говорится, какое расстояние проходит каждый за 1 час.
а) Велосипедист едет со скоростью 12 км/ч - значит, за 1 час он проезжает 12 километров.
б) Всадник скачет со скоростью 17 км/ч - за 1 час он преодолевает 17 километров.
в) Поезд едет со скоростью 70 км/ч - за 1 час проходит 70 километров.
2. В Японии на линии Токио — Нагасаки курсирует поезд «Хитари», проходящий 340 км за 2 ч. С какой скоростью движется поезд «Хитари»?
Ответ:
340 : 2 = 170 км/ч - скорость поезда
3. Скорость современного пассажирского авиалайнера 900 км/ч. За какое время он преодолеет расстояние от Санкт-Петербурга до Хабаровска, равное 6 300 км?
Ответ:
6 300 : 900 = 7 ч - за такое время авиалайнер преодолеет расстояние от Санкт-Петербурга до Хабаровска
4. Скорость современного истребителя-бомбардировщика 2 500 км/ч. Какое расстояние может пролететь истребитель за 5 ч?
Ответ:
2 500 • 5 = 12 500 км - расстояние, которое истребитель может пролететь за 5 ч
5. а) Автогонщик преодолел дистанцию за 3 ч, двигаясь со скоростью 170 км/ч. Найди длину дистанции.
б) Самолёт пролетел 1 600 км со скоростью 800 км/ч. Сколько времени продолжался полёт?
в) Игорь пробежал 100 м за 20 с. С какой скоростью бежал Игорь?
Ответ:
а) 170 • 3 = 5 100 км - длина дистанции
б) 1 600 : 800 = 2 ч - столько времени продолжался полет
в) 100 : 20 = 5 м/с - скорость Игоря
6. Найди значения выражений.
1 000 000 - (3 526 + 19 678 + 418 947) - 557 848
(39 844 : 7 + 20 864 : 8) • 20 - 6 987 • 9
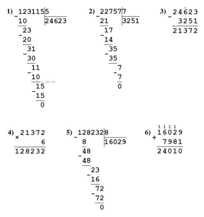
6 • (123 115 : 5 - 22 757 : 7) : 8 + 7 981
Ответ:
3 1 2 4
1 000 000 - (3 526 + 19 678 + 418 947) - 557 848 = 1

1 3 2 4 6 5
(39 844 : 7 + 20 864 : 8) • 20 - 6 987 • 9 = 103 117

4 1 3 2 5 6
6 • (123 115 : 5 - 22 757 : 7) : 8 + 7 981 = 24 010

7. Стоянка для машин имеет форму прямоугольника, ширина которого 75 м. Найди площадь автостоянки, если длина забора, который её окружает, 350 м.
Ответ:
Длина забора, который окружает автостоянку, - это периметр автостоянки.
1) 75 • 2 = 150 м - удвоенная ширина забора
2) 350 - 150 = 200 м - удвоенная длина забора
3) 200 : 2 = 100 м - длина забора
4) 100 • 75 = 7 500 м2 - площадь автостоянки
8. Городской транспорт пополнился новыми автобусами, троллейбусами, трамваями и маршрутными такси. На маршруты вышло 112 новых троллейбусов, что в 2 раза больше, чем трамваев, автобусов — в 3 раза больше, чем трамваев, а маршрутных такси столько, сколько автобусов, троллейбусов и трамваев вместе. Сколько новых маршрутных такси вышло на улицы города?
Ответ:
1) 112 : 2 = 56 машин - новых трамваев
2) 56 • 3 = 168 машин - новых автобусов
3) 112 + 56 + 168 = 336 машин - новых маршрутных такси
9. Женя и её брат Митя 215 дней в году едут в школу и возвращаются обратно домой на метро. Сколько проездных билетов, на 10 поездок каждый, они используют?
Ответ:
1) 2 • 2 = 4 поездки - используют Женя и Митя за один день
2) 215 • 4 = 860 поездок - используют Женя и Митя за 215 дней
3) 860 : 10 = 86 проездных билетов - используют Женя и Митя
10. Объясни, как разрезать фигуру по линиям сетки на 4 одинаковые части. Обсуди своё решение с одноклассниками.
Ответ:

| Всего комментариев: 0 | |
